2011 February Construction report – summary
2010 May Operating budget
2011 January Operating budget
2010 May Operating report – summary
2008 June Construction report – summary
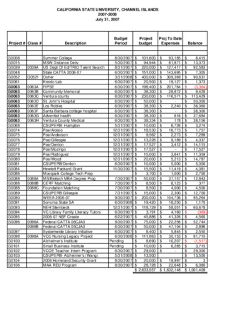
2007 July Grants & Contracts report – summary
2009 December Trust fund report - summary
2008 August Construction report – summary
2008 April Trust fund report - summary
2008 September Construction report – summary